實時掌控市場動向
發表時間:2021-06-28 訪問量:
高分子膠粘劑作為一類高分子材料,已被廣泛應用于建筑、汽車、電子、航天航空、海洋運輸等領域。但是高分子膠粘劑在使用過程中,由于受內外因素的綜合作用,使性能逐漸變壞即老化。近30年來,國外對膠粘劑的老化性能進行了一些研究,在粘接界面化學、粘接破壞機理的研究方面也取得一些進展“。老化主要是光、熱、氧等引發的氧化和水解,其影響因素主要有陽光(特別是紫外線)、溫度、氧氣、水和污染物等。已有研究表明,光氧化降解隨濕度增大而加劇;水解降解也因光照而加劇。本文用人工加速試驗方法研究熱對環氧-聚酰胺膠粘劑性能的影響及老化機理。
一、實驗部分
1.1試樣制備
1)主要原材料
環氧樹脂:環氧E44。
固化劑:低分子質量聚酰胺650。
2)環氧膠粘劑的配制
將環氧樹脂E44和低分子質量聚酰胺按質量比2:1混和,待用。
3)金屬膠接件的表面處理
用120*砂紙打磨A3鋼試片表面,直至露出新鮮的基體,再用丙酮清洗表面。
4)膠接試樣的制作
將配置待用的膠粘劑均勻涂布在經過表面處理的被粘表面,按照GB/T7124-2008制樣,室溫固化24h以上,待用。
1.2試驗方法及試驗設備
將試樣放入熱老化試驗箱,溫度分別為60℃、80℃、100℃,老化周期分別為200h、400h、600h、800h、1000h.試驗結束后,取出試樣在標準狀態下放置24h后,進行相關性能試驗。

膠粘劑剪切強度實驗機

精密烘箱
二、結果和討論
2.1力學性能
環氫膠粘劑經過熱老化試驗后其剪切強度變化見圖

由圖1可知,在室溫靜置狀態下,環氧結構膠粘劑的剪切強度基本無明顯變化;經過不同周期的熱老化試驗后,環氧膠粘劑的剪切強度在經過老化初期短暫上升之后均呈逐漸下降趨勢,如在100℃,分別老化600、800和1000h后剪切強度保持率分別為53.2%、48.3%和28.6%.
熱老化初期,剪切強度有所升高,因為常溫下環氧的固化反應不完全,環氧基殘留率通常在40%左右”。加熱可以使殘留的環氧基進一步交聯固化而使其膠接強度有所上升。但是隨著熱老化時間的延長,膠粘劑的高分子鏈節在熱、氧氣作用下發生分子鏈的斷裂,造成力學性能下降。
對圖1中的3個熱老化溫度下剪切強度變化曲線進行線性擬合,可得到EP-PA剪切強度-時間曲線線性擬合參數,見表1.

從表1可以看出,隨著溫度的逐漸升高(60℃→80℃→100℃),其剪切強度曲線的斜率逐漸增大(0.0085<0.0096<0.0131).說明老化溫度越高,剪切強度下降越快。
EP-PA剪切強度保持率隨溫度的變化趨勢如圖2所示。

由圖2可知,在熱老化初期的200h,膠粘劑的剪切強度保持率隨著老化溫度的升高呈指數形式增加。隨著熱老化時間的延長,剪切強度保持率則隨著老化溫度的升高而呈直線性下降;且老化溫度越高,剪切強度保持率降幅越大。
2.2表觀形貌
對比熱老化前后EP-PA膠的SEM圖(圖3)可見,熱老化對環氧膠粘劑微觀形貌有所影響。其中,60℃熱老化后有輕微裂紋,100℃熱老化后有明顯裂紋甚至斷裂,80℃熱老化的表觀形貌變化居于二者之間。分析表明,熱可以使EP-PA膠微觀形貌產生裂紋;且老化溫度越高,對膠粘劑微觀形貌破壞越嚴重。上述分析與EP-PA膠在熱老化后的力學性能變化相一致。

2.3FT-IR分析
由圖4可見,經過1000h熱老化后,在1690cm~1650cm處的酰胺基變弱,說明環氧膠粘劑分子結構中的-CON基團含量減少,發生C-N鍵斷裂。在1780cm-'~1710cm-'處羧酸基吸收峰和3200cm~2250cm處胺吸收峰增強,說明有新的羧基基團和胺基基團生成。因此,由紅外光圖譜可知,熱老化可以使EP-PA膠粘劑的分子結構發生斷裂降解;且老化溫度越高,膠粘劑分子結構變化越大。

2.4TGA分析
由圖5可見,在空氣氣氛中,環氧膠的開始熱分解溫度小于在氮氣氣氛中的熱分解溫度;當EP-PA膠的剩余質量為50%時,在氮氣氣氛中溫度需要升高到440℃,而在空氣氣氛中溫度只要390℃.溫度在500℃的時候,空氣氣氛中的環氧膠已經分解完畢,而氨氣氣氛中的環氧膠還有剩余成分存在。

上述試驗可以說明,空氣中氧氣的存在,使得EP-PA膠容易在高溫中發生熱氧分解,因此氧氣是EP-PA膠在熱老化中的重要因素。
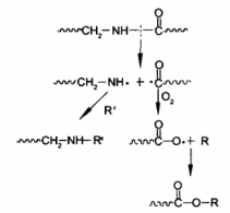
2.5熱老化機理
EP-PA膠在熱作用下,高分子鏈節上酰胺基團-CONH發生熱氧化反應,C-N鍵斷裂。

以上機理分析,可以得出與力學性能、SEM形貌、FT-IR分析相一致的結果。
三、結論
1)熱老化初期,由于未固化的環氧基進一步固化而使剪切強度有所升高。但是隨著老化時間的延長,剪切強度呈下降趨勢,且溫度越高,下降比例越大。
2)由SEM圖可見,熱老化后,EP-PA膠微觀形貌有所變化;100℃老化后有明顯裂紋,表明膠粘劑的分子鏈發生了降解。
3)FT-IR分析表明,熱可以引起EP-PA膠的分子結構變化。即酰胺-CONH基團被氧化,導致膠粘劑性能下降。
4)TGA試驗分析可以說明,氧氣使EP-PA膠在高溫中發生熱氧分解,是膠粘劑發生熱老化的重要因素。
膠粘事業部
華南負責人:詹紅兵15118409165
華東負責人:張振13073353892
家具·箱包·塑料·包裝事業部
華南負責人:蔡婷婷13929477992
華東負責人:陳濤13790278052
郵箱:kejian@kejian-tech.com